近兩年來,在中國農業科學院農業科技創新工程、中國農業科學院蜜蜂研究所人才戰略及國家自然科學基金等相關項目的支持下,中國農業科學院蜜蜂研究所以刁青云研究員為首席科學家的蜜蜂病蟲害生物學創新團隊,緊跟時代步伐,積極探索蜜蜂病害研究前沿,在即將過去的2016年,該團隊共發表學術論文17篇,其中SCI論文10篇(院選核心6篇);制定蜂業技術標準2項,出版編著1部,獲授權國際發明專利1項,獲授權實用新型9項,外觀設計專利2項,參加國際重要學術會議并做主題報告3人次,同時與法國、加拿大、韓國、蘇丹、美國、英國、捷克斯洛伐克等大學、科研機構建立了深層次合作關系。
1.中國蜜蜂病毒病流行與分布研究
該團隊根據生產實踐中蜜蜂病毒發生嚴重的情況,系統全面地調查了我國區域內意大利蜜蜂、中華蜜蜂的病毒病流行與分布特點,首次在我國蜂群中發現了蜜蜂絲狀病毒,在《Journal of InvertebratePathology》(院選核心)發表了該成果,報道了蜜蜂絲狀病毒在我國部分省份的流行率與分布特征,同時在美國微生物學會期刊《Genome Announcements》上首次報道并分析了我國慢性麻痹病毒的全基因組序列,為深入開展不同基因型的致病性差異研究提供了理論指導,為進一步防控病毒的發生與流行奠定了基礎。

該系列成果通訊作者為刁青云研究員,第一作者為侯春生博士。文章鏈接為:
http://www.sciencedirect.com/science/article/pii/S0022201116300751
http://genomea.asm.org/content/4/4/e00618-16.short
2.轉基因植物與農藥對蜜蜂的影響研究
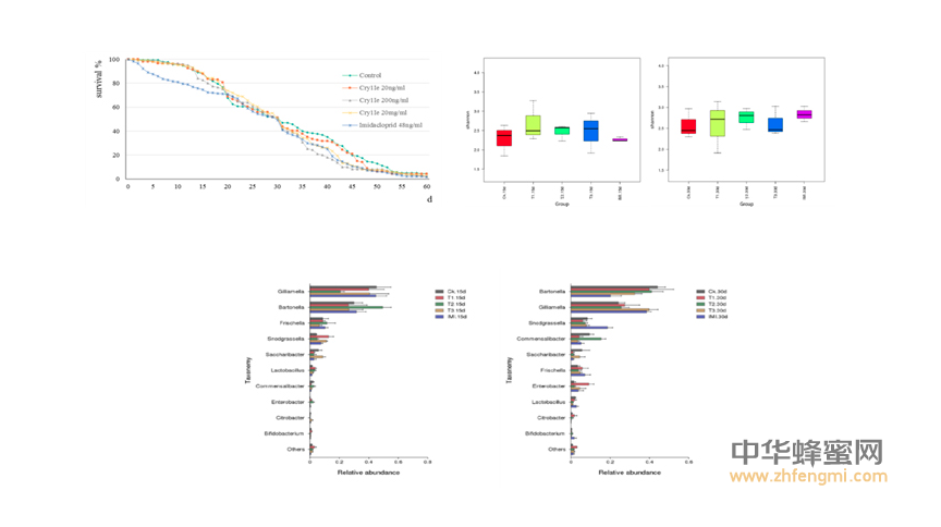
在轉基因植物和農藥對蜜蜂的影響方面,通過轉基因蛋白飼喂蜜蜂實驗,證明了Cry1le對蜜蜂無毒害作用,也不會傷害其行為能力。另外,Cry1le也不會影響蜜蜂中腸細菌的多樣性,從而有力地證明了短期飼喂Cry1le對蜜蜂不會造成影響。
文章第一作者及通訊作者為代平禮副研究員,其文章鏈接為:
http://jee.oxfordjournals.org/lookup/pmidlookup?view=long&pmid=27670271
http://jee.oxfordjournals.org/lookup/pmidlookup?view=long&pmid=27122497
http://www.nature.com/articles/srep24664
該團隊研究還發現,擬除蟲菊酯對腦細胞的鈣離子通道具有明顯的抑制作用。

該成果第一作者為王強副研究員,其文章鏈接為:
http://www.sciencedirect.com/science?_ob=ArticleListURL&_method=list&_ArticleList
ID=-1106607520&_sort=r&_st=13&view=c&md5=2a5a8db5f03a9f89646af58afa1ee9b9&searchtype=a
3.蜜蜂螨害監測與防治研究
該團隊在蜜蜂螨害監測與防治方面也取得了階段性突破。傳統的螨害監測手段主要通過人肉眼觀察蜂體或箱底來發現螨,該方法具有明顯的滯后性,在蜂群中發現螨時蜂群已損失了大部分生產能力。為此,本團隊在《Genetics and Molecular Research》上報道現代信息技術與分子生物技術相結合,利用微型傳感器監測其感染蜂群的溫濕度差異作為螨害嚴重程度的衡量指標,為實現螨害的在線監測與預警提供技術支撐。同時,也分析了感染螨與未感染螨的蜜蜂血淋巴成分差異,為進一步探討螨害對某一成分的喜好研究提供了基礎數據(其成果發表于《中國獸醫雜志》)。

文章鏈接為:
http://www.geneticsmr.com/articles/7046 (通訊作者為刁青云,侯春生為第一作者)
http://www.cnki.com.cn/Article/CJFDTotal-ZSYZ201606003.htm (通訊作者為周婷,第一作者為王星)
4.建立廣泛的國際合作
在不斷拓寬研究領域與研究深度的同時,團隊加強與國際同行的交流與合作,先后與法國、加拿大、韓國、蘇丹、美國、英國、捷克斯洛伐克等大學、科研機構建立深層次合作關系。2016年與以色列國家農業研究組織病毒研究室及英國埃克塞特大學蜜蜂病毒進化研究團隊簽署了合作備忘錄,為我國蜜蜂病毒學深入參與國際化研究奠定基礎。
在注重理論與基礎研究的同時,本團隊也立足于生產實際與產業服務,建立了蜜蜂病蟲害的QQ群和微信群,及時在線解答蜂農關心的疑難問題。2016年解答蜂農關心的問題1800余次,共檢測全國病蜂樣600余份。刁青云研究員與王強副研究員于2016年分別培訓授課15次、5次,共培訓蜂農及蜂業技術人員2000余人。










